π的诞生,数学史上第一次明确地以数学公式表达了这个无限的过程

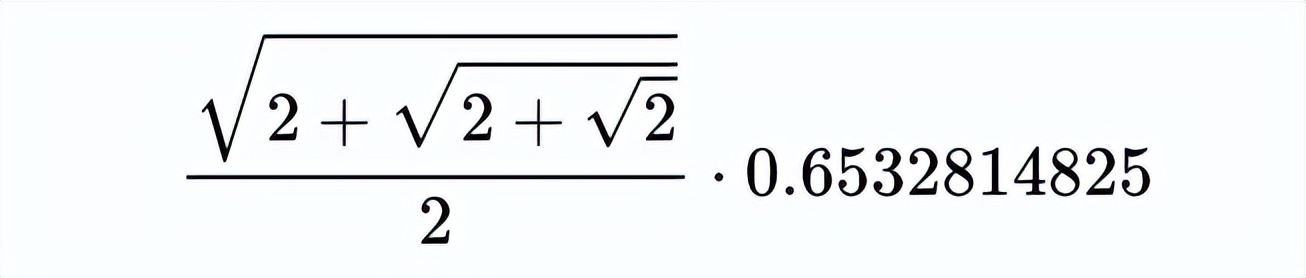
打开计算器并输入 2 的平方根,然后将其除以 2,并保存这个结果0.7071067812。接着,输入 2 的平方根加上另一个 2 的平方根,将其总和除以 2,然后乘以之前保存的数字,

继续重复这个过程,你会注意到,每次迭代后,结果会逐渐接近 0.63661977,

如果能够无限次地执行这个过程,最终的结果会精确等于,

这个公式是由法国数学家弗朗索瓦·韦达(François Viète)于 1593 年发现的。这是一个非常令人惊叹的无限乘积公式,因为它展示了如何仅从数字 2 开始,通过一系列加法、除法、乘法和平方根的运算,就可以计算出 π

然而,至少在 16 世纪,这个公式的真正令人惊讶之处是公式末尾的省略号。因为这是数学史上第一次明确地以数学公式表达了一个无限过程。
在 1650 年,英国数学家约翰·沃利斯(John Wallis)发现了另一个与 π 相关的公式

基本上是将偶数成对相乘,并用奇数成对相乘进行除法。随着计算的进行,结果会逐渐接近 1.57796,或者更精确地说是 π\2。顺便提一下,沃利斯还提出了用于表示“无限”的符号∞。
我们可以绘制这些公式作为每次迭代的函数图表。例如,对于第一个公式,我们将其表示为

为什么称为 x∞呢?因为如果我们将这个过程无限次地重复,最终的结果可以被视为 x∞。当然,这个点实际上并不存在,因为永远无法真正达到它,这只是一个抽象的表示。
另一种表示这个无限过程的方法是限制迭代次数到n,

接下来,绘制这个公式的图表。因为我们希望逼近 2\π,首先绘制一条水平的红色线 y=2\π。每次迭代的结果会逐渐接近这条线,而这条水平线被称为“水平渐近线”。

可以看到,这种特性是一个典型的数列收敛的标志。
然而,需要注意的是,在离散序列的背景下,将这些点连成曲线是没有实际意义的。因为例如在 x_1 和x_2 之间,并没有定义任何值,至少在我们使用的公式中没有。不过,如果将这个公式推广到连续情况,可能会涉及到一个无限连续乘积的概念(不在这里讨论)。

接下来,来看第二个数列的收敛性,

让我们绘制出它的函数图。因为我们希望逼近 π/2,所以绘制了一条水平渐近线 y=π/2。第一个输入是 x1=2,它的输出是f(x1)=2/1。接下来的迭代中,输入是 x_2=2/3,输出是 f(x2)=(2/3)×(2/1)。可以观察到,第二次迭代的结果确实更接近水平渐近线,但奇怪的是,它位于渐近线的下方。让我们看下一次迭代,输入是 x_3=4/3,输出是 (4/3)×(2/3)×(2/1)。这次结果回到了渐近线的上方。继续这个过程,会发现这些点在渐近线上下交替,但最重要的是,每次迭代之后,这些点确实越来越接近渐近线。因此,这个无限乘积确实收敛到 π/2。

一个很好的问题是:为什么有人会想要做这样的事情?一个无限乘积能够产生一个有限的结果确实很有趣,尤其是像 π这样的数值。因为从原则上讲,这里并没有任何理由让 π 出现在这个公式中。然而,除了这种数学上的好奇心之外,这样的公式还有什么实际用途呢?
事实证明,这些公式的真正用处在于,它们可以用来近似 π。如你所知,π 是一个无理数,这意味着它的值无法用有限的方式表示,其小数部分是无限延续的。因此,在某些情况下,你可能需要一个 π 的近似值,而近似的精度取决于用途和目的。
例如,如果你只是想估算一个圆的面积,π 近似为 3.14 已经足够。如果需要用它设计齿轮或谐振电路,你可能需要更高的精度,比如 π≈3.14159。而如果你需要计算航天器的轨迹或 GPS 卫星系统,则可能需要 π 精确到 15 至 20 位。
一个更深入的问题是:哪一个无限乘积公式收敛得更快? 换句话说,哪种公式需要更少的迭代次数,就能得到一个满意的 π 近似?更具体地说,哪一个在计算上更高效?
正如之前提到的,满意的近似程度取决于具体的应用场景,但我们可以通过比较两种公式的误差来进行评估。误差被定义为近似值与 π 的真实值之间的差值,并取绝对值。
为了比较哪种公式更快达到满意的结果,我使用了 Wolfram Alpha 网站进行计算。结果显示,使用第一个公式,仅通过 4 次迭代,就能达到 10^−2的精度。它表示误差大约是 0.01,因此小数点后两位是准确的,但从第三位开始就会出现误差。
接下来,如果对第二个公式做同样的操作,很快就会发现它的效率低得多。实际上,我尝试了尽可能多的迭代次数,远超过第一个公式的 4 次。然而, Wolfram Alpha 对字符输入有一个限制,因此不得不在第 12 次迭代时停止。即使如此,第二个公式的误差仍然远大于第一个公式在相同迭代次数下的误差。
通过在线查阅相关资料,我发现要使第二个公式达到与第一个公式 4 次迭代相同的精度 ,需要大约 78 次迭代。相比之下,第一个公式显然更加高效。
这项实验的结论是:第一个公式的效率远高于第二个公式。尽管我个人觉得第二个公式在形式上更优雅,但在计算实用性方面,第一个公式无疑更胜一筹。