2024新高考数学两套试卷10大变化附试题及答案下载
2024年高考数学应该是以后高考的一个转折点,目前学生普遍反映还是比较难的,整个试卷简单的题多,但难题更多,就是平均成绩应该比以前高,但考高分难度比较大,纵观整套试卷有10个变化。
试题及答案参考文章结尾直接下载,目前新高考二卷试题还没有标准的试卷,目前网络流传的都是根据老师手写整理而成,可能与标准试卷有个别题有出入,后续准确了再提供下载,目前先提供一卷的下载
新高考全国一卷11省:浙江、江苏、河北、山东、广东、福建、湖北、湖南、河南、安徽、江西!
新高考全国二卷11省:重庆、海南、辽宁、黑龙江、吉林、云南、山西、贵州、广西、甘肃、新疆
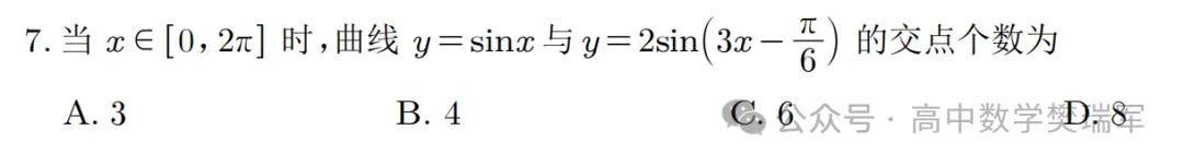
变化1:单选择题共有8道题,里面有一些题目来自课本例题和练习题目
如第第7题

图形就是课本例题,但课本的作图方法考试这种用速度太慢,所以学课本还得变通,不是课本例题讲的方法就是最好的。咱们之前根据资料内容给大家讲过10秒快速作图方法,非常适合考试作图。


课本的课后练习题

变化2:单选题不再是最后两道压轴,压轴的概念淡化,最后一题不像以前的题目,里面体现了一些思维比如二卷要拆分,一卷要观察规律
新高考二卷

解题要点:不能直接求解也不能求导,一个函数拆成两个分别画图观察,当两个函数零点相同时,两个函数的x相同就会在同一个点不等式大于等于0。

新高考一卷

解题要点:推理观察规律

变化3:多选题原来是两道概念考察,今年只有一道概念考察,后面两道题都是综合题,但考察基本的分析方法,比如两套卷都考三次函数
一卷

二卷

变化四:一二卷的难度并不是一卷难,二卷就简单,具体到题目中还不一定,比如二卷圆锥曲线难,一卷圆锥曲线简单,二卷导数简单,一卷导数难,二卷考概率解答题,一卷直接没有考。
变化五:题目数量减少后考题随机性增大,圆锥曲线和函数考题增多,空间几何减少。
比如一卷函数考了4道,圆锥曲线和概率考了2道,统计没有考,空间几何考了一道,数列没有考,二卷中函数考了3道,圆锥曲线和三角函数都是2道,统计和数列考了一道
变化六:解答题原来6道现在5道,出现跨章节的融合比如圆锥曲线和数列融合,概率和数列融合,难度增大了随机性更大,最后2题都是3问。

这个圆锥曲线题目,表面是圆锥曲线,其实更多是数列,里面的计算不是单纯的算,而是观察结构把数列中的计算,两式相减迁移到圆锥曲线中再计算,不然没法办

证明的结论:很多学生没看懂,换一个表达就是说明面积Sn是常数,这就是咱们资料里面示范的条件换一种表达。

面积如果直接计算非常复杂,但如果用三点坐标计算面积或者向量计算面积就简单很多了,但三点计算面积公式或者向量计算面积课本没有,很多学生不知道,这个公式再图谱资料里面有,同时计算过程中还要用上一问数列的结论

三点计算面积的公式,在图谱这个资料里面有,可以用向量推导一下

相关资料参考
新版高考数学解题图谱《上下两册》
变化七:导数中并不是全部求导,还有不求导观察结构推理分析函数性质的,混合到一块了,如果求导就是方向性的错误,导数的难度也随机,二卷没有考压轴,一卷考压轴
新高考一卷


新高考二卷

变化八:新题型落实了,二卷没有考,一卷属于学过的数列里面加入新的定义:这个定义里面有很多字母理解比较困难,同时还有知识的混合,难度进一步提升。前两问属于理解定义就能做,后一问难度就非常大了,基本与99%学生无关

如何理解字母多的定义?这种定义随便可以换无数个,没办法预测,怎么理解文字描述,符号,甚至图形,后续咱们再分享策略

变化九:解答题第一道题为解三角形比较简单属于送分题,后面的每个题都是有难度的,空间几何表面看没有变,还是平行垂直证明二面角计算,但里面强化了垂直推理,比如一卷第一问要通过垂直证明平行,二卷第一问直接计算得到垂直,第二问先得根据数据把垂直找出来才能计算




变化十:压轴题由原来的圆锥曲线导数拓展到圆锥曲线,导数,概率,新题型,概率考察不是大家经常练习的二项分布超几何分布全概率条件概率这些,而是最底层的事件关系:分类分步独立对立,计算中主要是三次的因式分解计算

纵观今年的高考计算量还是很大,这里面有一些无法回避的常规计算复杂如通分,合并因式分解等,还有一个与以往有一点区别的就是计算里面不是单纯的算,里面融合了一些观察,一些特点和思想,没观察出来导致的求解复杂或者计算不下去。
2024新高考1卷真题(官方原卷).pdf
2024新高考一卷数学非官方解析版.pdf
