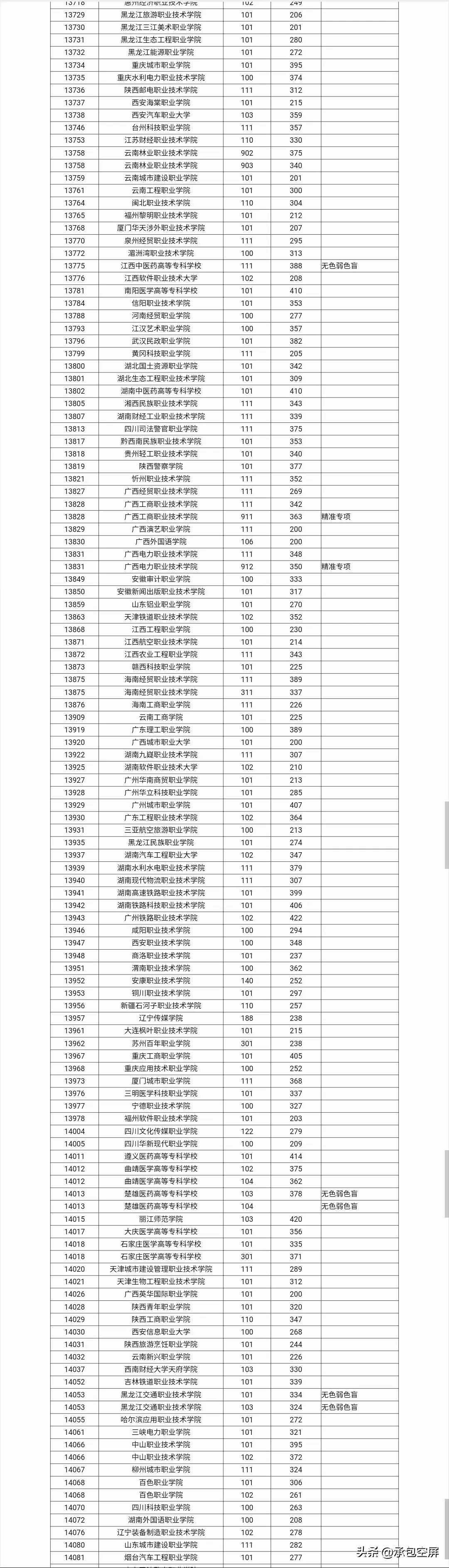
广西2024专科批院校最低投档线公布!医学、师范类分数增长较大
今天下午广西公布2024年高考专科院校录取最低投档线!
广西2024年高考分数线(历史类):
本科线:400/52706
专科线:200/128278
从已发布各大院校分数线来看,相对去年部分院校分数处于增长模式。像部分医学、师范、电力、铁路类等院校基本处于本科线状态进行招生!
从今年各省专科批院校投档线来分析看,这些专业始终是热饽饽的专业,而且也是考生首选专业,就以师范类院校来看,毕业未来就业途径有可能是小学教师或者幼儿园教师!再甚至有部分学校还有公费师范生,这样对于未来就业不成问题!除此之外还有铁路类院校,毕业虽然工作环境比较辛苦,但总体而言要比找不到工作这些要好很多!
这两年随着一些外界的影响,就业环境始终不是很好,也导致了部分大学生毕业就失业的状态!因此提前选择较好的就业学校何尝不是一种出路!









本文是历史类,物理类请看下一篇!
注:信息来源广西省招生考试院官网,如有侵权联系删除