试卷字迹工整有多重要?改卷老师心声:字迹潦草的孩子真的很吃亏
大家好,我是花酱~毕业于英国诺丁汉大学TESOL专业硕士,从事教学工作多年,拥有一枚4岁女宝宝~
作为英语老师,每次期末改卷都是我万分痛苦的时候,尤其是在主观题的部分,又希望学生拿分又看不懂他们写的是什么的时候,就特别的犹豫该如何给分。
因为我们学校有规定,每次期末卷都必须在3天内改完并录入成绩,每次都有几百份卷子需要手改的我就特别的焦虑,就怕因为学生字写得潦草、太小或者看不清楚而被我扣了分。

即便每次考试前我都会千叮咛万嘱咐,务必把每个单词都写清楚,至少让我能够看懂。但每次拿到卷子的时候,我依然感到头疼万分。
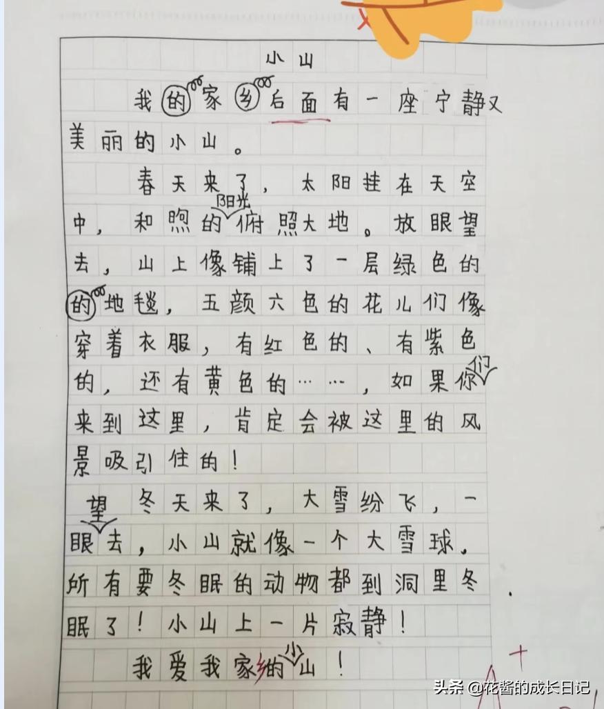
图片是我这学期改到的卷子,拿到这种字迹的卷子,我一下子不知道该如何给分。

改卷期间有这个烦恼的不止我一个,其他学科考试里需要考主观题的改卷老师都跟我有一样的烦恼。又想给学生多一点分,但看着潦草不堪的字迹,又不知道该如何给分。毕竟考试是需要公平的,看不清楚的内容,给了分,对其他同学来说,并不公平。

字写得好有什么好处?
如果在改过好几份自己潦草的卷子后突然出现了一份字写得很端正的试卷,这个时候我对这份卷子自然而然就充满了好感,只要不是有大问题,主观题部分的给分也不会很低。
而那些英文卷子很整洁的孩子,其他学科的卷子也同样干干净净,字迹工整,深得老师们的欢心,也特别容易记住他们的名字。

根据多年从教的经验,字迹工整的孩子,基本上小的时候都练过字,而且读书成绩都不会太差。
无论是考试还是交上来的作业,都让老师如沐春风,愿意细改也愿意细看,这些学生自然而然会收到更多的评语,进步也会更快。
我们小的时候总说,字是人的第二副面孔,这话放在这个时代说,也是合理的。

为什么学过书法依然写不出好看的字?
很多家长都会以为,那我就早点让孩子学习书法就可以了。其实不然,在众多字迹潦草不够端正的孩子里,我发现也有好几个在小的时候是练过书法的。
但是,他们在长大以后,写出来的字依然不好看。
问其原因,孩子告诉我说,他们也不知道为什么,老师让描红的时候,他们很难描得和字帖一样,就更别说临帖了。

控笔的重要性
其实在练字之前还有一个步骤非常重要,就是控笔。
很多孩子入学以后掌握不好字的结构,或者临帖很多却总是写不好字,究其原因都是因为控笔的问题,和孩子的天赋、坚持或者不够用心没有太大的关系。
控笔,顾名思义就是控制笔的操作技法和运用能力。
很多孩子在传统的练字方法其实并不有效,如果在练书法前加入控笔练习,可以帮助提升练字的效果。

如何练习控笔
孩子两三岁大的时候,可以拿蜡笔画一些线条,这是最早期的控笔练习。
带了孩子三四岁开始,就需要训练他们掌指小肌肉的控制。也就是让孩子在规定的方块里画直线或者横线,锻炼孩子肌肉的稳定性,这是第一个阶段。

到了第二个阶段,差不多在孩子五六岁开始,同时也是要介入幼小衔接的时候。
这时候就可以让孩子写数字、拼音或者英语,训练孩子握笔的能力和专注力。


到了第三阶段,也就是孩子入学前。家长就可以有意地让孩子开始做汉字训练,可以练偏旁部首或者一起简单的汉字,以此来训练孩子用笔方向感和手腕的稳定度。

很多家长会问我,那我得买多少练习册才能包含你说的这些内容呀。
其实不需要的。推荐大家一套书,这套书就是专门训练孩子控笔技能的,整套书有10册,涵盖了我提到的所有内容,包括基础练习、提高练习、拼音练习、数字练习、英语练习、偏旁部首和笔画笔顺的练习还有汉字练习。

家长如果有需要的话,与其自己花时间去找各种练习册,不如直接买这一套控笔训练册就完全够孩子使用了。价格也不贵,整套10册只要49元,我把链接贴在下方了,有需求的家长可以直接购买。
最后,有个问题需要和爸爸妈妈们共勉,有的时候,孩子写不出好看的字,真的不是因为没天赋或者不够用心,是因为我们把顺序弄反了,不在正确的道路上,再努力奔跑,也只会离正确的方向越来越远。
先练习控笔,再练书法,有的时候,方向对了,才能事半功倍。
<script type="text/javascript" src="//mp.toutiao.com/mp/agw/mass_profit/pc_product_promotions_js?item_id=7119479263371280936"></script>